
NHO 09 Avaliação da Exposição Ocupacional a Vibrações de Corpo Inteiro
A Security Eng conta com mais de 23 anos de experiência no mercado para te ajudar com a NHO 09 Avaliação da Exposição Ocupacional a Vibrações de Corpo Inteiro.
Dispomos de profissionais altamente treinados e habilitados para atuar na área de saúde e segurança do trabalho, prontos para desenvolver todo tipo de trabalho, adequação e melhoria de acordo com a necessidade dos nossos contratantes.
A empresa oferece serviços de elaboração de laudos técnicos ou periciais, serviços estes desenvolvidos por profissionais registrados no CREA-SP e com os devidos recolhimentos das ART. Por atuarmos com clientes dos mais variados segmentos, temos total condição de adaptar a nossa vivência e experiência para as necessidades de sua empresa.
Também disponibilizamos para locação diversos tipos de equipamentos para serem utilizados no monitoramento de toda a rotina de segurança do trabalho e saúde ocupacional.
Conheça nossos produtos e serviços:
www.securityeng.com.br www.locacaoequipamentos.com.br
NHO 09
Norma para avaliação da exposição ocupacional a vibrações de corpo inteiro
1 Objetivo
Esta norma técnica tem por objetivo estabelecer critérios
e procedimentos para a avaliação da exposição ocupacional a vibrações de corpo inteiro (VCI) que implique possibilidade de ocorrência
de problemas diversos à saúde do trabalhador, entre os quais aqueles
relacionados à coluna vertebral.
2 Aplicação
A norma aplica-se à exposição ocupacional a vibrações de corpo inteiro, em quaisquer situações de trabalho em que a vibração
seja transmitida ao corpo, tanto na posição em pé, quanto na sentada.
3 Referências normativas
As edições das normas relacionadas a seguir, referidas ao longo
do texto, encontravam-se em vigor durante a elaboração da presente
norma. Os usuários desta NHO devem estar atentos às edições
mais recentes das normas referendadas ou daquelas que venham
a substituí-las.
ISO 2631-1 (1997) – Mechanical vibration and shock – Evaluation
of human exposure to whole-body vibration. Part 1: General
requirements.
ISO 8041 (2005) – Human response to vibration – Measuring
instrumentation.
4 Definições, símbolos, abreviaturas e correlações
4.1 Definições, símbolos e abreviaturas
Aceleração instantânea [aj(t)]: valor da aceleração ponderada em frequência, no instante de tempo “t”, expressa em m/s², segundo um determinado eixo de direção “j”, sendo que “j” corresponde aos eixos ortogonais “x”, “y” ou “z”
Aceleração média (amj): raiz média quadrática dos diversos valores da aceleração instantânea ocorridos em um período de medição, expressa em m/s², na direção “j”, definida pela expressão que segue:

Sendo que aj(t) corresponde aos valores ax(t), ay(t) ou az(t), em m/s², segundo os eixos ortogonais x, y e z, respectivamente, e t2 – t1 ao intervalo de medição.
Aceleração média resultante (amr)¹: corresponde à raiz quadrada da soma dos quadrados das acelerações médias, medidas segundo os três eixos ortogonais “x”, “y” e “z”, definida pela expressão que segue:

Sendo:
amj = aceleração média;
fj = fator de multiplicação em função do eixo considerado
(f = 1,4 para os eixos “x” e “y” e “ f ”= 1,0 para o eixo “z”);
Aceleração resultante de exposição parcial (arepi): corresponde à aceleração média resultante representativa da exposição ocupacional relativa à componente de exposição “i”, ocorrida em uma parcela de tempo da jornada diária, considerando os três eixos ortogonais. Este parâmetro poderá ser resultado de uma média aritmética as acelerações obtidas cada vez que a componente de exposição é repetida, conforme expressão que segue:

Sendo:
amrik = aceleração média resultante relativa à késima amostra
selecionada dentre as repetições da componente de
exposição “i”;
s = número de amostras da componente de exposição “i” que
foram mensuradas.
Aceleração resultante de exposição (are): corresponde à aceleração média resultante representativa da exposição ocupacional diária, considerando os três eixos ortogonais as diversas componentes de exposição identificadas, definida pela expressão que segue:

Sendo:
arepi = aceleração resultante de exposição parcial;
ni = número de repetições da componente de exposição “i” ao
longo da jornada de trabalho;
Ti = tempo² de duração da componente de exposição “i”;
m = número de componentes de exposição que compõem a exposição diária;
T = tempo de duração da jornada diária de trabalho.
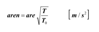
Aceleração resultante de exposição normalizada (aren): corresponde
à aceleração resultante de exposição (are) convertida para uma
jornada diária padrão de 8 horas, determinada pela seguinte expressão:

Sendo:
are = aceleração resultante de exposição;
T = tempo de duração da jornada diária de trabalho expresso em horas ou minutos;
T0 = 8 horas ou 480 minutos.
Componente de exposição: parte da exposição diária que pode ser representada por um único valor de aceleração resultante de exposição parcial (arep). A componente de exposição pode ser decorrente de uma única operação ou consequência de duas ou mais operações executadas de forma sequencial.
Fator de crista (FC): módulo da razão entre o máximo valor de pico de aj(t) e o valor e amj, ambas ponderadas em frequência. Grupo de exposição similar (GES): corresponde a um grupo de trabalhadores que experimentam exposição semelhante, de forma que o resultado fornecido pela avaliação da exposição de parte deste grupo seja representativo da exposição de todos os trabalhadores que o compõem.
Limite de exposição (LE): parâmetro de exposição ocupacional que representa condições sob as quais se acredita que a maioria dos trabalhadores possa estar exposta repetidamente sem sofrer efeitos adversos que possam resultar em dano à sua saúde.
Nível de ação: valor acima do qual devem ser adotadas ações preventivas de forma a minimizar a probabilidade de que as exposições à vibração causem danos à saúde do trabalhador e evitar que o limite de exposição seja ultrapassado.
Ponto de medição: ponto(s) localizado(s) na zona de exposição, ou próximo(s) a esta, cujos valores obtidos sejam representativos da exposição da região do corpo atingida.
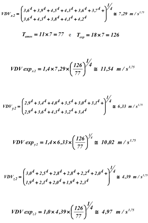
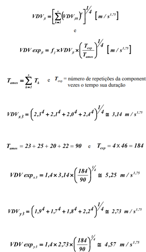
Valor da dose de vibração (VDVj): corresponde ao valor obtido a partir do método de dose de vibração à quarta potência³ determinado na direção “j”, sendo que “j”corresponde aos eixos ortogonais “x”, “y” ou “z”, expresso em m/s^1,75, definido pela expressão que segue:

Sendo:
aj(t) = aceleração instantânea ponderada em frequência;
t = tempo de duração da medição.
Valor da dose de vibração (VDVji): corresponde ao valor de dose de vibração, determinado na direção “j”, relativo às “s” amostras da componente de exposição “i” que foram mensuradas, definido pela expressão que segue:

Sendo:
VDVjik = valor de dose de vibração relativa à késima amostra selecionada dentre as repetições da componente de exposição “i” ;
s = número de amostras da componente de exposição “i” que foram mensuradas.
Valor da dose de vibração da exposição parcial (VDVexpji): corresponde ao valor de dose de vibração representativo da exposição ocupacional diária no eixo “j”, relativo à componente de exposição “i”, que pode ser obtido por meio da expressão que segue:

VDVji = valor da dose de vibração medido no eixo “j”, relativo à componente de exposição “i”;
Texp = tempo total de exposição à vibração, ao longo de toda a jornada de trabalho, decorrente da componente de exposição “i” em estudo. Corresponde ao número de repetições da componente vezes o seu tempo de duração;
Tamos= tempo total utilizado para a medição das “s” amostras representativas da componente de exposição “i”, em estudo:

Tk = tempo de medição relativo à késima amostra selecionada dentre as repetições da componente de exposição “i”;
s = número de amostras da componente de exposição “i” que foram mensuradas;
fj = fator de multiplicação em função do eixo considerado (f = 1,4 para os eixos “x” e “y” e f = 1,0 para o eixo “z”).
Valor da dose de vibração da exposição (VDVexpj ): corresponde
ao valor de dose de vibração representativo da exposição ocupacional
diária em cada eixo de medição, que pode ser obtido por meio da expressão que segue:

Sendo:
VDVexpji = valor da dose de vibração da exposição representativo da exposição ocupacional diária no eixo “j”, relativo à componente de exposição “i”;
m = número de componentes de exposição que compõem a exposição diária.
Valor da dose de vibração resultante (VDVR): corresponde ao valor da dose de vibração representativo da exposição ocupacional diária, considerando a resultante dos três eixos de medição, que pode ser obtido por meio da expressão que segue:
Sendo:
VDVexpj = valor da dose de vibração da exposição, representativo da exposição ocupacional diária no eixo “j”, sendo “j” igual a “x”, “y” ou “z”.
Zona de exposição: interface entre a fonte de vibração e a região do corpo para a qual a energia da vibração é transferida.
4.2 Principais correlações entre as terminologias e os símbolos em português e em inglês relativos à norma ISO 2631-1:1997
Aceleração instantânea [aj(t)]: Instantaneous frequency-weighted acceleration [aw(t)].
Aceleração média (amj): Root-mean-square single-axis acceleration value (aw), expressa como: awx , awy ou awz
Aceleração média resultante (amr): Vibration total value (av).
Valor da dose de vibração (VDVj): Vibration dose value (VDV), expresso nas direções “x”, “y” ou “z”.
5 Critério de avaliação da exposição ocupacional à vibração
Para os fins desta norma, são utilizados os valores de referência descritos a seguir.
O nível de ação para a exposição ocupacional diária à vibração de corpo inteiro dotado nesta norma corresponde a um valor da aceleração resultante de exposição normalizada (aren) de 0,5m/s² e ao valor da dose de vibração resultante (VDVR) de 9,1m/s^1,75.
O limite de exposição ocupacional diária à vibração de corpo inteiro, adotado nesta norma corresponde a um valor da aceleração resultante de exposição normalizada (aren) de 1,1 m/s² e ao valor da dose de vibração resultante (VDVR) de 21 m/s^1,75.
Para fins de comparação com o limite de exposição ou com o nível de ação, independentemente da duração da jornada de trabalho, deve-se determinar a aceleração resultante a exposição normalizada (aren) e o valor da dose de vibração resultante (VDVR). Este último parâmetro adquire maior importância quando for constatada a ocorrência de choques ou solavancos significativos na exposição do trabalhador sob estudo.
5.1 Parâmetros a serem utilizados na avaliação
Os parâmetros básicos para a avaliação da exposição à VCI correspondem à aceleração resultante da exposição normalizada (aren) e ao valor da dose de vibração resultante (VDVR).
A aceleração resultante de exposição normalizada (aren) é determinada pela seguinte expressão:

Sendo:
are = aceleração resultante da exposição, representativa da exposição ocupacional diária;
T = tempo de duração da jornada diária de trabalho expresso em horas ou minutos;
T0 = 8 horas ou 480 minutos.
O valor de dose de vibração resultante (VDVR) corresponde ao valor de dose de vibração representativo da exposição ocupacional diária, considerando a resultante dos três eixos de medição, que pode ser obtido por meio da expressão que segue:

Sendo:
VDVexpj = valor de dose de vibração da exposição representativo da exposição ocupacional diária no eixo “j”, sendo “j” igual a “x”, “y” ou “z”.
Todas as acelerações consideradas neste critério são ponderadas em frequência segundo as curvas de ponderação Wk para o eixo “z” e Wd para os eixos “x” e “y”, conforme estabelecido na norma ISO 2631-1: 1997. Essas curvas estão representadas na Figura 1 e os eixos de medição estão ilustrados na Figura 2.

Figura 1: Curvas de ponderação em frequência para vibração transmitida ao corpo inteiro Ed e Wk.
(Fonte: adaptada de ISO 2631:1997)

Eixos de direção adotados para medição.
(Fonte: adaptada de ISO 2631:1997)
Nota: Os critérios estabelecidos na presente norma estão baseados em conceitos e parâmetros técnico-científicos modernos, seguindo tendências internacionais atuais, não havendo um compromisso de equivalência com o critério legal. Desta forma, os resultados obtidos e sua interpretação, quando da aplicação desta norma, podem diferir daqueles obtidos na caracterização da insalubridade pela aplicação do disposto na Portaria nº 3214 de 08 de junho de 1978, do Ministério do Trabalho e Emprego, Norma Regulamentadora NR 15, anexo 8, alterado pela Portaria nº 12 de 06 de junho de 1983, da Secretaria de Segurança e Saúde do Trabalho (SSMT).
Para fins da prevenção e controle, os resultados obtidos e sua interpretação também podem diferir da Norma Regulamentadora NR 9, da mesma Portaria nº 3214, alterada pela Portaria nº 25 de 29 de dezembro de 1994, da SSMT.
6 Procedimentos de avaliação
6.1 Abordagem dos locais e das condições de trabalho
Deverão ser obtidas informações técnicas e administrativas relacionadas aos veículos, às máquinas e aos equipamentos, às operações e demais parâmetros (ambientais, de processos de trabalho etc.) envolvidos nas condições de trabalho avaliadas. Tais informações serão corroboradas por observações de campo, necessárias para a identificação dos grupos de exposição similar e para a caracterização da exposição dos trabalhadores com base no critério utilizado.
A avaliação da vibração deverá ser feita de forma a ser representativa da exposição de todos os trabalhadores considerados no estudo.
Identificando-se os grupos de exposição similar, não precisarão ser avaliados todos os trabalhadores. As avaliações podem ser realizadas cobrindo parte dos trabalhadores de cada grupo considerado que esteja em situação correspondente à exposição “típica” do grupo.
Sempre que houver dúvidas quanto à representatividade de uma amostragem parcial, esta deverá ser estendida até que haja convicção técnica de sua representatividade.
Havendo dúvidas quanto à possibilidade de redução do número de trabalhadores a serem avaliados, a abordagem deve considerar necessariamente a totalidade dos expostos no grupo considerado.
6.2 Análise preliminar da exposição
A análise preliminar tem por objetivo reunir elementos que permitam enquadrar as situações analisadas em três distintas possibilidades, quais sejam:
– a convicção técnica de que as situações de exposição sejam aceitáveis, pressupondo-se que estejam abaixo do nível de ação;
– a convicção técnica de que as situações de exposição sejam inaceitáveis, pressupondo-se que estejam acima do limite de exposição;
– a incerteza quanto à aceitabilidade das situações de exposição analisadas.
Para a análise preliminar da exposição, deve-se considerar, entre outros, os seguintes aspectos:
a) informações fornecidas por fabricantes de veículos, máquinas ou equipamentos sobre suas especificações técnicas, incluindo os níveis de vibração gerados durante as operações envolvidas na exposição;
b) estado de conservação de veículos, máquinas ou equipamentos utilizados quanto aos sistemas de amortecimento, assentos e demais dispositivos que possam interferir na exposição dos operadores ou motoristas. O nível de vibração gerado depende, entre outros fatores, das características e do estado de conservação desses dispositivos. Esses aspectos devem ser considerados quando da utilização de dados relativos a operações e equipamentos similares;
c) dados de medições de exposição ocupacional já existentes, eventualmente disponíveis;
d) características da superfície de circulação;
e) constatação de condições específicas de trabalho que possam contribuir para o agravamento das condições de exposição, como, por exemplo: atividades desenvolvidas em situações ou condições diversas das finalidades para as quais se destinam os veículos, as máquinas ou os equipamentos;
f) estimativa de tempo efetivo da exposição diária;
g) nível de ação e limite de exposição adotados, conforme item 5;
h) informações ou registros relacionados a queixas, susceptibilidades ou predisposições atípicas ou antecedentes médicos relacionados aos trabalhadores expostos e os efeitos neles gerados.
Quando, por meio da análise preliminar, houver a convicção técnica de que as situações de exposição são aceitáveis, em princípio não serão necessárias avaliações quantitativas, sendo recomendada, no mínimo, a manutenção das condições de exposição existentes.
Quando, por meio da análise preliminar, houver a convicção técnica de que as situações de exposição são inaceitáveis, em princípio não serão necessárias avaliações quantitativas, sendo obrigatória a adoção de medidas de controle.
Quando, após a análise preliminar, permanecer a incerteza da aceitabilidade da condição de exposição analisada ou quando houver a necessidade de se dispor do valor da aceleração resultante de exposição normalizada (aren) e do valor da dose de vibração resultante (VDVR) para quaisquer fins, deve-se efetuar a avaliação quantitativa.
6.3 Avaliação quantitativa da exposição
6.3.1 Procedimentos gerais
A avaliação da exposição ocupacional à vibração de corpo inteiro deverá ser feita utilizando-se sistemas de medição que permitam a determinação da aceleração resultante de exposição normalizada (aren) e do valor da dose de vibração resultante (VDVR), parâmetros representativos da exposição diária do trabalhador.
Os sistemas de medição devem ser compostos basicamente de medidores integradores e de transdutores (incluindo acelerômetros de assento) do tipo triaxial. Esses transdutores serão posicionados nos pontos de medição.
O conjunto de medições deve ser representativo das condições reais da exposição ocupacional do grupo de trabalhadores objeto do estudo. Desta forma, a avaliação deve cobrir todas as condições operacionais habituais e rotineiras que envolvem o trabalhador no exercício de suas funções. A diversidade das referidas condições normalmente é influenciada por vários fatores, que serão abordados no subitem 6.3.1.1.
Os procedimentos de avaliação devem interferir o mínimo possível nas condições operacionais características da condição de trabalho em estudo.
A exposição diária pode ser composta por:
– uma única componente de exposição, de curta ou longa duração, repetida ou não, durante toda a jornada de trabalho ou em parte dela;
– duas ou mais componentes de exposição, de curta ou longa duração, repetidas, ou não, de forma sequencial ou aleatória, durante toda a jornada de trabalho ou em parte dela.
Esta forma de abordagem, por meio de componentes de exposição, tem por objetivo facilitar o processo de coleta de dados, tendo em vista as mais variadas condições de exposição.
Condições de exposição não rotineiras, decorrentes de operações ou procedimentos de trabalho previsíveis, mas não habituais, devem ser avaliadas e interpretadas isoladamente, considerando-se a sua contribuição na exposição diária.
Sempre que houver dúvidas quanto à representatividade de uma amostragem parcial, esta deverá ser estendida até que haja convicção técnica da representatividade da amostra.
6.3.1.1 Identificação das componentes de exposição
A utilização desta forma de abordagem permite decompor a exposição diária em partes, cada uma composta por uma componente de exposição que se repete, ou não. A identificação das componentes de exposição é feita por meio de uma avaliação qualitativa, cuidadosa e detalhada, do processo e das condições de trabalho, considerando: a variedade de tipos e características de veículos e máquinas, assentos e suspensões, tipos de pavimento, velocidades de condução, procedimentos e operações distintas, tempos de trabalho, pausas ao longo da exposição diária, modos de condução e modos operacionais distintos, inerentes a cada trabalhador, entre outros.
Quando a exposição diária compreender duas ou mais componentes de exposição, a avaliação da exposição ocupacional diária poderá ser feita pela combinação dos dados obtidos para cada uma das componentes.
Pode-se ter, por exemplo, uma rotina de trabalho utilizando um único veículo em diferentes fases de um processo produtivo. Outro exemplo que pode ser citado é a utilização de dois ou mais veículos, de forma alternada, em um procedimento de trabalho que tenha característica cíclica.
Exemplo:
Um trabalhador cumpre diariamente uma jornada de 8h48, durante a qual opera dois tipos de equipamentos: uma pá carregadeira e um britador.
Nas 4h24 do período da manhã, ele opera uma pá carregadeira para realização de duas tarefas básicas, que são:
• Tarefa A: desloca o entulho do caminhão e carrega o britador;
• Tarefa B: remove o material britado e forma pilhas no pátio.
Normalmente é executada uma série composta pela repetição de oito vezes a Tarefa A, sendo que o tempo médio de duração de cada Tarefa A é de cinco minutos. Na sequência, o operador permanece parado, por um tempo médio de seis minutos, com a pá carregadeira desligada e, em seguida, executa uma série composta pela repetição de seis vezes a Tarefa B, sendo que o tempo médio de duração de cada Tarefa B é de sete minutos. Desta forma, no período da manhã, o operador repete três vezes o ciclo composto por uma série de Tarefas A, mais um tempo de parada e mais uma série de Tarefas B.
Nas 4h24 do período da tarde, ele opera o britador (Tarefa C), em pé, posicionado sobre uma plataforma acoplada a ele. Nesta atividade, o operador cumpre uma rotina alternada na qual permanece na plataforma por quarenta e seis minutos, condição na qual fica exposto à vibração, ficando vinte minutos fora desta enquanto realiza outras tarefas sem contato com o agente. Desta forma, no período da tarde, o operador repete quatro vezes o ciclo composto pelas atividades executadas sobre a plataforma e fora dela.
Analisando o exemplo proposto, verifica-se que a avaliação da exposição a vibrações pode ser feita considerando três componentes de exposição, sendo uma correspondente à operação executada na Tarefa A, com duração média de cinco minutos, a outra relativa à operação executada na Tarefa B, com duração média de sete minutos, e a terceira correspondente à operação executada na Tarefa C, com duração média de quarenta e seis minutos. Deve ser observado que, neste caso, as componentes de exposição levam em consideração apenas o tempo efetivo de contato com a vibração.
Outra forma de proceder à avaliação dessa exposição consiste em considerar apenas duas componentes de exposição, denominadas “AB” e “C”. A primeira constitui-se pela sequência composta pela série de oito vezes a Tarefa A, mais o intervalo de tempo, mais a série de seis vezes a Tarefa B, com duração média de oitenta e oito minutos. A segunda componente de exposição é constituída pela Tarefa C, com duração média de quarenta e seis minutos. Deve-se observar que, neste caso, a componente de exposição “AB” inclui o tempo de parada do operador, apesar dele não estar exposto à vibração durante esse período.
Destaca-se que, nas duas hipóteses apresentadas, cada uma das componentes de exposição será representada por um valor de aceleração resultante da exposição parcial (arepi).
Portanto, a definição das componentes de exposição fica a critério do avaliador, considerando-se as variáveis ambientais e operacionais, visando à praticidade do estudo.
6.3.1.2 Obtenção de arepi, VDVexpji, Ti, ni, Tamos, Texp
Uma vez determinadas as componentes de exposição, devem ser obtidos: a aceleração resultante de exposição parcial (arepi) e o valor da dose de vibração da exposição parcial (VDVexpji), representativos da contribuição da exposição ocupacional de cada uma das diferentes componentes identificadas. Também deverão ser determinados o tempo médio de duração de cada componente Ti, o número de repetições de cada componente ao longo da jornada de trabalho ni, o tempo total utilizado para a medição das “s” amostras representativas de cada componente Tamos e o tempo total de exposição à vibração ao longo de toda a jornada de trabalho decorrente de cada componente Texp.
O Ti de cada componente de exposição deve ser determinado por meio da média aritmética das cronometragens, obtidas cada vez que a componente é repetida. Quando o número de repetições for igual ou superior a três, devem ser feitas no mínimo três cronometragens ou tantas quantas forem necessárias para que seja alcançado um valor representativo do Ti.
A aceleração resultante de exposição parcial (arepi) de cada componente de exposição deve ser determinada por meio da média aritmética das acelerações, obtidas cada vez que a componente é repetida, conforme expressão a seguir. Cada valor de aceleração,
obtido neste caso, corresponde à aceleração média resultante (amrik).
Quando o número de repetições for igual ou superior a três, devem ser feitas no mínimo três medições ou tantas quantas forem necessárias para que seja alcançado um valor representativo da arepi, que será obtido pela expressão que segue:

Sendo:
amrik = aceleração média resultante relativa à késima amostra selecionada dentre as repetições da componente de exposição “i”;
s = número de amostras da componente de exposição “i” que foram mensuradas.
Conforme pode ser observado, o procedimento de cálculo da arepi mostrado anteriormente se aplica apenas quando forem feitas medições distintas e independentes da aceleração média resultante (amrik), em cada vez que a componente de exposição for repetida.
A medição em um número maior de repetições pode ser necessária quando a componente de exposição for de curta duração ou forem observadas significativas variações nos tempos de duração e nas acelerações obtidas entre diversas repetições observadas. Todavia, este fato também pode ser indicativo de que houve falha ou inadequação na identificação das componentes de exposição. Neste caso, pode ser necessária a uma nova análise das condições de exposição do trabalhador avaliado, visando a uma nova identificação das componentes de exposição. As referidas variações nas acelerações obtidas também podem ser decorrentes de falhas no processo de medição, indicando a necessidade de revisão do procedimento e do instrumental utilizado.
Outra situação ocorre quando a integração do sinal for mantida de forma continuada. Neste caso, a medição prossegue cobrindo várias repetições da componente de exposição até que o avaliador, baseado no seu julgamento e experiência profissional, tenha convicção de que a amostragem é representativa da exposição, sendo que o resultado obtido amri já corresponde ao valor do arepi a ser atribuído à componente de exposição em análise.
Quando a componente de exposição identificada for uma condição de exposição de longa duração, a caracterização da exposição pode ser feita por meio da avaliação de uma parcela do tempo de duração “Ti” da componente de exposição “i”, que forneça um resultado representativo desta componente, conforme convicção do avaliador. Neste caso, o resultado da medição obtido nesta parcela já corresponde ao valor de amrik a ser atribuído à componente de exposição sob análise. Caso esta componente em análise ocorra uma única vez na jornada, o resultado obtido já corresponde ao valor do arepi a ser atribuído à componente de exposição em análise.
Como exemplo pode ser citado um caminhoneiro dirigindo em uma estrada interestadual, de forma continuada, ao longo da jornada ou em parte dela.
Da mesma forma, e simultaneamente à obtenção do valor do arepi, o valor da dose de vibração da exposição parcial (VDVexpji) de cada componente de exposição deve ser determinado por meio da projeção do valor da dose de vibração (VDVji). O VDVji dever ser determinado pela somatória dos valores de dose VDVjik, obtidos cada vez que a componente é repetida. Cada valor da dose VDVexpji obtido neste caso corresponde ao valor representativo da exposição ocupacional diária no eixo “j”, relativo à componente de exposição “i”. As doses citadas são determinadas pelas expressões que seguem:

A obtenção dos parâmetros arepi, VDVji e VDVexpji encontra-se detalhada nos subitens 6.3.6.2 e 6.3.6.3.
6.3.2 Sistemas de medição
6.3.2.1 Equipamentos de medição
Os medidores a serem utilizados na avaliação da exposição ocupacional à vibração de corpo inteiro devem ser integradores, atender aos requisitos constantes da Norma ISO 8041 (2005) ou de suas futuras revisões e complementações e estar ajustados de forma a atender aos seguintes parâmetros:
– circuitos de ponderação para corpo inteiro
• Wk para o eixo “z”
• Wd para os eixos “x” e “y”
– fator de multiplicação “fj” em função do eixo considerado
• fx = 1,4
• fy = 1,4
• fz = 1,0
– medição em rms
6.3.2.2 Transdutores de vibração
A seleção do transdutor de vibrações (acelerômetro) deve ser feita considerando-se o tipo de montagem necessária para o devido posicionamento e fixação do transdutor e as características do sinal a ser medido, tais como: frequências, amplitudes, ocorrência de picos elevados (por exemplo: movimentação de veículos em pisos irregulares ou esburacados ou medições em plataformas vibrantes).
Para avaliação da exposição ocupacional a vibrações transmitidas por assentos, devem ser utilizados acelerômetros de assento construídos especificamente para esta finalidade.
6.3.3 Calibradores para vibração
Os equipamentos utilizados na regulagem dos medidores de vibração devem atender às especificações da Norma ISO 8041 (2005) ou de suas futuras revisões e complementações e ser compatíveis com os acelerômetros utilizados.
6.3.4 Calibração dos equipamentos
Medidores, acelerômetros e calibradores deverão ser periodicamente calibrados pelo Instituto Nacional de Metrologia, Qualidade e Tecnologia (Inmetro), por laboratórios acreditados pelo Inmetro para esta finalidade ou por laboratórios internacionais, desde que reconhecidos pelo Inmetro. A periodicidade de calibração deve ser estabelecida com base nas recomendações do fabricante, em dados históricos da utilização dos medidores que indiquem um possível comprometimento na confiabilidade do equipamento e em critérios que venham a ser estabelecidos em lei. A calibração também deverá ser refeita sempre que ocorrer algum evento que implique suspeita de dano ou comprometimento do sistema de medição.
6.3.5 Interferentes ambientais no desempenho dos equipamentos
Na utilização de medidores e calibradores deverão ser consideradas as interferências decorrentes das condições de umidade e temperatura, da presença de campos magnéticos ou outros interferentes, conforme especificados pelos fabricantes.
6.3.6 Procedimentos de medição
6.3.6.1 Localização e fixação dos transdutores
As medições da vibração transmitida ao corpo devem ser feitas segundo as três direções de um sistema de coordenadas ortogonais de forma simultânea, utilizando-se acelerômetro do tipo triaxial.
A Figura 3 mostra exemplos de localização e fixação de acelerômetro de assento e o sistema de coordenadas ortogonais para a avaliação da exposição.

As medições devem ser feitas no ponto de medição selecionado de forma que os resultados sejam representativos da exposição ocupacional.
Em determinadas situações de trabalho, nas quais as atividades são realizadas em pé, as medições terão de ser feitas com acelerômetros fixados no piso. A seleção do transdutor ou da forma de fixação deve ser feita de modo a buscar o melhor acoplamento entre o acelerômetro e o ponto de medição, visando ao não comprometimento das
condições de operação e das características do sinal de vibração, próprias do processo de exposição ocupacional objeto de estudo.
Normalmente, os fabricantes dos acelerômetros disponíveis no mercado oferecem diferentes alternativas de fixação, tais como: parafusos prisioneiros, cintas, bases magnéticas, cera, entre outras. Devem ser conhecidos os cuidados e as restrições na aplicação das diversas alternativas de fixação.
Não devem ser utilizados tipos de fixação que promovam um fraco acoplamento entre o transdutor e a superfície vibrante e que possam comprometer os resultados obtidos.
Outro cuidado na montagem dos acelerômetros é a disposição e a fixação dos cabos de conexão ao medidor. Deve-se procurar dispôlos de forma a não prejudicar a movimentação ou o posicionamento do trabalhador avaliado e fixá-los a fim de evitar que os cabos sofram movimentações ou oscilações desnecessárias que possam introduzir
sinais indesejados durante a medição, falseando os resultados obtidos e podendo, inclusive, danificar os referidos cabos ou conexões.
Quando as medições forem feitas em processos com a presença de umidade ou aerodispersóides, é recomendável considerar a eventual necessidade de se adotar cuidados adicionais visando à proteção das conexões elétricas, por exemplo, com a utilização de película de silicone. Para estas condições, também pode ser conveniente a proteção do medidor, envolvendo-o com uma película transparente de PVC ou outro material que promova sua vedação, tendo-se o cuidado de não comprometer o seu funcionamento.
Em algumas situações de exposição, pode ser necessária a medição em dois ou mais pontos distintos. Esta alternativa se aplica quando esses pontos, pertencentes à zona de exposição, apresentam leituras diferenciadas. Como exemplo, pode ser citada uma componente de exposição na qual um trabalhador desenvolve suas atividades, deslocando-se aleatoriamente sobre uma plataforma, ao longo da qual a amplitude de vibração é variável.
Deve-se tomar o cuidado de não adotar esse procedimento para trabalhadores que atuam em duas ou mais posições distintas, com tempos diferenciados ou não, pois este caso pode indicar a necessidade de se definir componentes de exposição distintas.
6.3.6.2 Medição dos valores de aceleração
Os equipamentos de medição, quando em uso, devem estar calibrados e em perfeitas condições eletromecânicas. Antes de iniciar as medições, deve-se:
– verificar a integridade eletromecânica do conjunto de medição, incluindo acelerômetro, cabos e conexões, bem como a coerência na resposta do instrumento;
– verificar as condições de carga das baterias; ajustar os parâmetros de medição, conforme o critério a ser utilizado, com base nas instruções do manual de operação e nos parâmetros especificados nesta norma;
– efetuar a regulagem do medidor de acordo com as instruções do fabricante.
O posicionamento e a conduta do avaliador devem propiciar a menor interferência possível nas condições e nos procedimentos de trabalho do avaliado, visando ao não comprometimento da medição.
Antes de iniciar a medição, o trabalhador a ser avaliado deve ser informado:
– do objetivo do trabalho e como as medições serão realizadas;
– de que a medição não deve interferir em sua conduta de trabalho e em suas atividades habituais, devendo manter a sua rotina e seus procedimentos operacionais. Deve, portanto, informar ao avaliador qualquer ocorrência que não seja habitual ou rotineira da tarefa que está sendo executada ou qualquer dúvida quanto à sua conduta durante o processo de medição;
– sobre a fragilidade dos dispositivos utilizados, sendo alertado para tomar cuidado com eles durante a medição, como, por exemplo, evitar pancadas ou puxões nos cabos e nos acelerômetros;
– de que os referidos dispositivos só podem ser manuseados e removidos pelo avaliador;
– sobre outros aspectos pertinentes.
Os dados obtidos só poderão ser validados se o equipamento mantiver comportamento regular durante todo o procedimento de medição e atender às seguintes condições:
– a integridade eletromecânica do conjunto de medição deve estar preservada;
– o nível de tensão da(s) bateria(s) após o término das medições deve apresentar-se dentro do mínimo aceitável;
– a calibração realizada após as medições, em relação à regulagem inicial, deve permanecer dentro da faixa de tolerância de ±5% ou daquela especificada na documentação do medidor, devendo ser adotada a que for mais restritiva.
A identificação das componentes de exposição que irão compor a exposição diária do trabalhador avaliado e de suas respectivas durações deverá ser estabelecido conforme item 6.3.1.1.
O posicionamento e a fixação, no ponto de medição, do acelerômetro dos demais dispositivos devem seguir as orientações apresentadas no item 6.3.6.1. O processo de integração deve iniciar quando o trabalhador começar a atividade correspondente à componente de exposição a ser avaliada, e a medição deve ser interrompida quando
a componente de exposição for concluída, visando à obtenção de um valor de amrik. Este procedimento deve ser repetido de forma a cobrir um número suficiente de amostras (“s” amostras) que permita a obtenção de um resultado representativo da componente de exposição cujo arepi esteja avaliada, conforme apresentado em 6.3.1.2, determinada pela expressão:

Esta conduta deverá ser repetida para cada componente de exposição identificada.
A outra forma de medição, conforme já descrita no item 6.3.1.2, consiste em manter a integração do sinal de forma continuada, cobrindo várias repetições da componente de exposição, até haver a convicção de que a medição esteja exibindo um resultado representativo. Neste caso, o resultado amri obtido já corresponde ao valor do arepi a ser atribuído à componente de exposição em análise.
Conforme também já abordado em 6.3.1.2, para componente de exposição de longa duração, alternativamente, o tempo de integração pode ser reduzido para uma parcela do tempo de duração da componente, desde que a aceleração obtida seja representativa desta. Neste caso, o resultado da medição obtido nesta parcela já corresponde ao valor de amrik a ser atribuído à componente de exposição sob análise.
Caso esta componente em análise ocorra apenas uma vez na jornada, o resultado de amrik obtido já corresponde ao valor de arepi atribuído a componente de exposição “i”. Esta conduta deverá ser repetida para cada componente de exposição identificada.
Havendo dúvidas sobre a representatividade de uma medição parcial, esta deverá obrigatoriamente ser estendida e, se necessário, cobrir todo o período de duração da componente de exposição em análise.
Durante a avaliação, o conjunto de medição deve ser verificado periodicamente a fim de assegurar que o acelerômetro esteja posicionado de modo adequado, que os cabos e as conexões estejam instalados de forma devida e que o medidor esteja em condições normais de operação.
Retirar o acelerômetro do ponto de medição somente após a interrupção da medição.
Para cada componente de exposição, determinar e registrar os valores das acelerações e as doses medidas, os tempos efetivos de duração e o número de repetições. Registrar também a duração da jornada do trabalhador sob análise.
6.3.6.3 Determinação dos valores de dose de vibração
O Valor de Dose de Vibração (VDVj)”, na literatura técnica, é tratado como um parâmetro complementar utilizado para a representação da exposição ocupacional, quando há a ocorrência de picos no sinal de vibração. Essa condição fica caracterizada quando o fator de crista (FC), definido em 4.1, for superior a nove, FC > 9. Por conduta preventiva, esta Norma adota o VDVR, independentemente do FC, como um parâmetro adicional no critério de julgamento da exposição, devendo ser determinado em todos os casos conforme estabelecido no item 5.1 desta norma.
O acelerômetro deve ser fixado observando-se os requisitos apresentados no subitem 6.3.6.1. As medições devem seguir os procedimentos e as orientações estabelecidos no subitem 6.3.6.2.
Adotando-se a primeira forma de medição, apresentada no subitem 6.3.1.2, inicia-se o processo de integração quando o trabalhador começa a atividade correspondente à componente de exposição a ser avaliada e interrompe-se a medição quando a componente de exposição for concluída, obtendo-se um valor de VDVjik para o tempo de
medição Tk relativo à késima amostra da componente de exposição i, sendo o índice j igual a “x”, “y”, ou “z”, em função do eixo que estiver sendo considerado. Este procedimento deve ser repetido de forma a cobrir um número suficiente de amostras (“s” amostras) que permita a obtenção de um resultado representativo da componente de exposição “i” para cada eixo avaliado VDVji, determinado pela expressão:

A outra forma de medição, conforme já descrita no item 6.3.1.2, consiste em manter a integração do sinal de forma continuada, cobrindo várias repetições da componente de exposição. Neste caso, o resultado obtido já corresponde ao valor do VDVji representativo da componente de exposição “i” no eixo “j”, sendo este igual a “x”, “y” ou “z”, em função do eixo que estiver sendo considerado, e o tempo de medição utilizado neste procedimento já corresponde ao Tamos.
Desta forma, a partir de qualquer uma das hipóteses anteriores, obtém-se os valores VDVxi , VDVyi, e VDVzi representativos da componente de exposição em cada eixo avaliado.
O valor da dose de vibração da exposição parcial (VDVexpji), representativo da exposição ocupacional diária no eixo “j”, relativo à componente de exposição “i”, pode ser obtido pela expressão que segue:

Sendo:
VDVji = valor da dose de vibração medido no eixo “j” relativo a componente de exposição “i”;
Texp= tempo total de exposição à vibração, ao longo de toda a jornada de trabalho, decorrente da componente de exposição “i” em estudo. Corresponde ao número de repetições da componente vezes o tempo de sua duração;
Tamos= tempo total utilizado para a medição das “s” amostras representativas da componente de exposição “i” em estudo:

fj = fator de multiplicação em função do eixo considerado
(f = 1,4 para os eixos “x” e “y” e f = 1,0 para o eixo “z”).
Esta conduta deverá ser repetida para cada componente de exposição identificada.
6.4 Determinação da exposição diária
A exposição diária pode ser decorrente das seguintes situações:
– uma componente de exposição, de curta ou longa duração, de ocorrência única ou repetida durante toda a jornada de trabalho ou em parte dela;
– duas ou mais componentes de exposição, de curta ou longa duração, repetidas ou não, de forma sequencial ou aleatória, durante toda a jornada de trabalho ou em parte dela.
6.4.1 Determinação da aceleração resultante de exposição normalizada (aren)
A obtenção da aceleração resultante de exposição (are) representativa da exposição ocupacional diária deve ser feita por meio da seguinte expressão:

Sendo:
arepi = aceleração resultante de exposição parcial representativa da exposição ocupacional relativa à componente de exposição “i”;
ni = número de repetições de cada componente ao longo da jornada de trabalho;
Ti = tempo de duração da componente de exposição “i”;
T = tempo de duração da jornada diária de trabalho;
m = número de componentes de exposição que compõem a exposição diária.
A aceleração resultante de exposição normalizada (aren), que correspondente à aceleração resultante de exposição, convertida para uma jornada padrão de 8 horas diárias, deve ser determinada por meio da
seguinte expressão:

Sendo:
are = aceleração resultante de exposição;
T = tempo de duração da jornada diária de trabalho expresso em horas ou minutos;
T0 = 8 horas ou 480 minutos.
O resultado obtido no final dos cálculos deve ser arredondado para o valor mais próximo, dentro de um intervalo de 0,1 m/s².
Exemplos:
valor obtido: 0,87 → valor assumido: 0,9; valor obtido: 1,13 → valor
assumido: 1,1; valor obtido: 1,15 → valor assumido: 1,2.
6.4.2 Determinação do valor de dose de vibração resultante (VDVR)
A determinação do valor da dose de vibração da exposição (VDVexpj), representativo da exposição ocupacional diária em cada eixo de medição, deve ser feita por meio da seguinte expressão:

Sendo:
VDVexpji = valor da dose de vibração da exposição representativo da exposição ocupacional diária no eixo “j” relativa à componente de exposição “i”, sendo “j” igual a “x”, “y” ou “z”;
m = número de componentes de exposição que compõem a exposição diária.
A determinação do valor da dose de vibração resultante (VDVR), representativo da exposição ocupacional diária, considerando a resultante dos três eixos de medição, deve ser feita por meio da seguinte expressão:

Sendo:
VDVexpj = valor da dose de vibração da exposição.
6.5 Interpretação dos resultados
Com base no critério apresentado no item 5, sempre que a aceleração resultante de exposição normalizada (aren) for superior a 1,1 m/s² ou sempre que o valor da dose de vibração resultante (VDVR) for superior a 21 m/s^1,75, o limite de exposição estará excedido e exigirá a adoção imediata de medidas corretivas visando ao controle da exposição.
Se a aceleração resultante de exposição normalizada (aren) estiver entre 0,5 m/s² e 1,1 m/s² ou sempre que o valor de dose de vibração resultante (VDVR) estiver entre 9,1 m/s^1,75 e 21 m/s^1,75, a exposição deve ser considerada acima do nível de ação, devendo ser adotadas medidas preventivas de forma a minimizar a probabilidade de que as exposições à vibração possam causar prejuízos à saúde dos trabalhadores e evitar
que o limite de exposição seja ultrapassado.
As medidas preventivas ou corretivas, referidas neste subitem, devem incluir no mínimo aquelas descritas no subitem 6.6.
6.5.1 Critério de julgamento e tomada de decisão
O Quadro 1 apresenta considerações técnicas e a atuação recomendada em função da aceleração resultante de exposição normalizada (aren) ou do valor de dose de vibração resultante (VDVR), encontrado na condição de exposição avaliada.

6.6 Conjunto mínimo de medidas preventivas e corretivas
Independentemente dos resultados obtidos e do enquadramento no Quadro 1, quando, por meio do controle médico da saúde, ficar caracterizado o nexo causal entre danos observados na saúde dos trabalhadores e a situação de trabalho a que eles ficam expostos, também deverão ser adotadas medidas corretivas visando à redução da exposição diária.
Deve ser ressaltado que, mesmo para valores de aren ou de VDVR considerados aceitáveis, a adoção de medidas que venham reduzir os níveis de exposição, se disponíveis ou viáveis, deve ser considerada prática positiva uma vez que melhora as condições de exposição e minimiza os riscos de danos à saúde.
6.6.1 Medidas preventivas
As medidas preventivas são ações que visam a minimizar à probabilidade de que as exposições à vibração causem prejuízos ao trabalhador exposto e evitar que o limite de exposição seja ultrapassado.
Devem incluir o monitoramento periódico da exposição, a informação e orientação aos trabalhadores e o controle médico.
O monitoramento periódico consiste em uma avaliação sistemática e repetitiva da exposição dos trabalhadores e das medidas de controle, visando a um acompanhamento dos níveis de exposição, tendo em vista a introdução ou a modificação das medidas de controle sempre que necessário.
Os trabalhadores devem ser informados e orientados sobre:
– riscos decorrentes da exposição à vibração de corpo inteiro;
– cuidados e procedimentos necessários para redução da exposição à vibração, como, por exemplo, adotar velocidades adequadas no uso de veículos, evitar, dentro do possível, superfícies irregulares, ajustar o assento do veículo em relação ao posicionamento e ao peso do usuário;
– cuidados a serem tomados após a exposição, tais como evitar levantar pesos ou fazer movimentos bruscos de torção ou flexão;
– eventuais limitações de proteção das medidas de controle, sua importância e seu uso correto;
– informar seus superiores sempre que observar níveis anormais de vibração durante o uso de veículos ou durante a execução de atividades em plataformas de trabalho.
O controle médico dos trabalhadores expostos a vibrações de corpo inteiro deve envolver exames físicos e a manutenção de um histórico com registros de exposições anteriores.
As medidas de caráter preventivo, descritas neste subitem, não excluem outras medidas que possam ser consideradas necessárias ou recomendáveis em função das particularidades de cada situação.
6.6.2 Medidas corretivas
As medidas corretivas visam a reduzir os níveis de exposição a vibrações, devendo ser adotadas tendo por base as recomendações estabelecidas no critério de julgamento e tomada de decisão, apresentado no subitem 6.5.1.
Entre as diversas medidas corretivas podem ser citadas:
– modificação do processo ou da operação de trabalho, podendo envolver: o reprojeto de plataformas de trabalho; a reformulação, a reorganização ou a alteração das rotinas ou dos procedimentos de trabalho; a adequação de veículos utilizados, especialmente pela adoção de assentos antivibratórios; a melhoria das condições
e das características dos pisos e pavimentos utilizados para circulação das máquinas e dos veículos;
– manutenção de veículos e máquinas, envolvendo especialmente os sistemas de suspensão e amortecimento, assento do operador, calibração de pneus, alinhamento e balanceamento, troca de componentes defeituosos ou desgastados de forma a mantê-los em bom estado de conservação;
– redução do tempo de exposição diária;
– alternância de atividades ou operações que geram exposições a níveis mais elevados de vibração com outras que não apresentem exposições ou impliquem exposições a menores níveis, resultando na redução da exposição diária.
As medidas de caráter corretivo descritas neste subitem não excluem outras medidas que possam ser consideradas necessárias ou recomendáveis em função das particularidades de cada situação.
6.7 Exemplo de aplicação da norma
Transcrevendo o exemplo apresentado no subitem 6.3.1.1, temos:
um trabalhador que diariamente cumpre uma jornada de 8h48, durante a qual executa três tipos de tarefa.
Nas 4h24 do período da manhã, ele opera uma pá carregadeira para realização de duas tarefas básicas, que são:
• Tarefa A: desloca o entulho do caminhão e carrega o britador;
• Tarefa B: remove o material britado e forma pilhas no pátio.
Normalmente é executada uma série composta pela repetição de oito vezes a Tarefa A, sendo que o tempo médio de duração de cada uma é de cinco minutos. Na sequência, o operador permanece parado por um tempo médio de seis minutos com a pá carregadeira desligada e, em seguida, executa uma série composta pela repetição de seis vezes a Tarefa B, sendo que o tempo médio de duração de cada uma é de sete minutos. Desta forma, no período da manhã, o operador repete três vezes o ciclo composto por uma série de Tarefas A, mais seis minutos de parada, mais uma série de Tarefas B.
Nas 4h24 do período da tarde, ele opera o britador (Tarefa C), em pé, posicionado sobre uma plataforma acoplada a ele. Nesta atividade, o operador permanece na plataforma por quarenta e seis minutos, condição na qual fica exposto à vibração. Em seguida, fora da plataforma, durante vinte minutos, realiza outras tarefas sem contato com o agente. Desta forma, no período da tarde, o operador repete quatro vezes o ciclo de sessenta e seis minutos composto pelas tarefas executadas sobre a plataforma e fora dela.
6.7.1 Primeira alternativa
Analisando o exemplo proposto, a primeira alternativa adotada para a avaliação da exposição a vibrações foi considerar três componentes de exposição: a primeira correspondente à tarefa A, com duração média de cinco minutos; a segunda correspondente à Tarefa B, com duração média de sete minutos; e a terceira, relativa
à Tarefa C, com duração média de quarenta e seis minutos. Deve ser observado que, neste caso, as componentes de exposição levam em consideração apenas o tempo efetivo de contato com a vibração, não sendo computados os períodos de tempo de paradas entre as séries de tarefas A e as séries de tarefas B, bem como os tempos que o operador fica fora da plataforma do britador, executando outras tarefas.
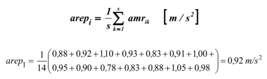
Considerando a alternativa adotada, no estudo da primeira componente de exposição, decorrente da execução da Tarefa A, foram feitas medições em quatorze repetições da componente selecionadas de forma aleatória. Deve ser observado que, durante todo o período da manhã, o operador executou vinte e quatro vezes a Tarefa A. Cada medição cobriu o tempo total de duração da componente, sendo que os valores de amrik e VDVjik obtidos estão apresentados respectivamente nas Tabelas 1 e 2.




No estudo da segunda componente de exposição, relativa à execução da Tarefa B, foram feitas medições em onze repetições da componente selecionadas de forma aleatória. Deve ser observado que, durante todo o período da manhã, o operador executou dezoito vezes a Tarefa B.
Cada medição cobriu o tempo total de duração da componente, sendo que os valores de amrik e VDVjik obtidos estão apresentados respectivamente nas Tabelas 3 e 4.




A terceira componente de exposição correspondeu à execução da Tarefa C, realizada no período da tarde. No estudo dessa componente, foram feitas medições nas quatro vezes que ela se repetiu. Cada medição cobriu uma parcela do tempo total de duração de cada repetição da componente, sendo que o tempo de duração de cada parcela variou de 20 a 25 minutos. Os valores de amrik e VDVjik obtidos estão apresentados respectivamente nas Tabelas 5 e 6.



A determinação da aceleração resultante de exposição (are) e da aceleração resultante de exposição normalizada (aren) é feita seguindo-se os procedimentos apresentados no subitem 6.4.1.

A determinação do valor da dose de vibração da exposição (VDVexpj) e do valor da dose de vibração resultante (VDVR) é feita seguindo-se os procedimentos apresentados no subitem 6.4.2.

6.7.2 Segunda alternativa
Considerando o exemplo proposto, a segunda alternativa adotada para a avaliação da exposição a vibrações foi considerar as mesmas três componentes de exposição adotadas na primeira alternativa, alterando-se, no entanto, a forma de medição.
Nesta segunda alternativa, no estudo da primeira componente de exposição, decorrente da execução da Tarefa A, a integração do sinal foi mantida de forma continuada, cobrindo três ou mais repetições da componente de exposição em cada um dos três ciclos que ocorrem no período da manhã. Assim no primeiro ciclo, cobriu-se seis das oito repetições da Tarefa A; no segundo ciclo, a medição abrangeu
quatro repetições; no terceiro ciclo, também foram cobertas quatro repetições. Os valores de amrik e de VDVjik obtidos estão apresentados respectivamente nas Tabelas 7 e 8.


Adotando-se para a segunda componente de exposição, relativa à execução da Tarefa B, a mesma forma de medição adotada para a Tarefa A, no primeiro ciclo, cobriram-se quatro das seis repetições da Tarefa B; no segundo ciclo, a medição também abrangeu
quatro repetições; no terceiro ciclo, foram cobertas três repetições.
Os valores de amrik e de VDVjik obtidos estão apresentados respectivamente nas Tabelas 9 e 10.




A determinação da aceleração resultante de exposição (are) e da aceleração resultante de exposição normalizada (aren) é feita seguindo-se os procedimentos apresentados no subitem 6.4.1.

A determinação do valor da dose de vibração da exposição(VDVexpj) e do valor da dose de vibração resultante (VDVR) é feita seguindo-se os procedimentos apresentados no subitem 6.4.2.

Deve ser observado que, também nesta segunda alternativa, as componentes de exposição levaram em consideração apenas o tempo efetivo de contato com a vibração, não sendo computados os períodos de tempo de paradas entre as Tarefas A e B, bem como os tempos que o operador fica fora da plataforma do britador executando outras atividades.
6.7.3 Terceira alternativa
Ainda no mesmo exemplo proposto, a terceira alternativa adotada para a avaliação da exposição a vibrações foi considerar apenas duas componentes de exposição, denominadas “AB” e “C”. A primeira é constituída pela sequência composta pela série de tarefa A, mais o intervalo de tempo, mais a série de tarefa B, com duração média de oitenta e oito minutos. A segunda componente de exposição é constituída pela tarefa C, com duração média de quarenta e seis minutos. Deve ser observado que, neste caso, a componente de exposição “AB” inclui o tempo de parada do operador, apesar dele não estar exposto à vibração durante esse período.
Nesta terceira alternativa, no estudo da primeira componente de exposição “AB”, a integração do sinal foi mantida de forma continuada, cobrindo integralmente as três repetições desta componente que ocorrem no período da manhã. Nesta medição,
o valor obtido foi:

Nesta terceira alternativa, o estudo da segunda componente de exposição, que corresponde à execução da tarefa C no período da tarde, também utilizou a mesma forma de medição adotada na primeira e na segunda alternativas, sendo que o resultado obtido foi:

A determinação da aceleração resultante de exposição (are) e da aceleração resultante de exposição normalizada (aren) é feita seguindo-se os procedimentos apresentados no subitem 6.4.1.

A determinação do valor da dose de vibração da exposição (VDVexpj) e do valor da dose de vibração resultante (VDVR) é feita seguindo-se os procedimentos apresentados no subitem 6.4.2.


Nesta terceira alternativa, é importante observar que a escolha da componente “AB” obriga a uma medição integral desta uma vez que uma medição parcial implicaria em se computar as contribuições das Tarefas A e B e do tempo de intervalo entre elas, com ponderações temporais diferenciadas, o que resultaria em um valor de aceleração ou de dose que não expressaria a realidade ocupacional.
6.7.4 Interpretação do resultado obtido
Com base no critério de julgamento e na tomada de decisão apresentados no subitem 6.5.1, constata-se que os valores obtidos nas três alternativas de medição de aren iguais a 1,0 m/s2 , bem como os de VDVR iguais a 18,0 m/s1,75, encontram-se na região de incerteza, sendo recomendada a adoção de medidas preventivas e corretivas
visando à redução da exposição diária.
Deve ser esclarecido que as três alternativas de avaliação, apresentadas no exemplo desenvolvido, tiveram o objetivo de mostrar diferentes formas de estratégia de amostragem e de medição, visando a melhor ilustrar a metodologia proposta por esta norma. No entanto, isto não significa que as três são igualmente aplicáveis, podendo, inclusive, haver outras alternativas não abordadas neste exemplo.
Na prática, conforme já descrito anteriormente, o avaliador deve selecionar a forma de quantificação e avaliação da exposição que julgar
mais conveniente ou de mais praticidade em função das condições de
trabalho observadas. Deve também considerar o conhecimento reunido
sobre a realidade ocupacional em estudo, que inclui, entre outros, as
características do processo e das condições de trabalho, das máquinas
e dos veículos utilizados, dos equipamentos e acessórios de medição
disponíveis.
É importante ressaltar que a seleção do número de repetições de
medição no procedimento de avaliação das componentes de exposição
identificadas, bem como a duração do tempo de medição, integral
ou parcial, na quantificação dos parâmetros amrik
e VDVjik, em cada
repetição da medição, depende da análise e do julgamento do avaliador.
O avaliador deve sempre buscar a alternativa que, em sua convicção
técnica, seja a que melhor represente as condições de exposição do trabalhador objeto de estudo.
7 Relatório
Recomenda-se que no relatório técnico sejam abordados, no mínimo, os aspectos apresentados a seguir de forma a possibilitar a compreensão, por leitor qualificado, do trabalho desenvolvido e a documentação dos aspectos da presente norma que foram utilizados no estudo:
– Introdução, incluindo objetivos do trabalho, justificativa e datas ou períodos em que foram desenvolvidas as avaliações;
– Critério de avaliação adotado;
– Instrumental e acessórios utilizados e registro dos certificados de calibração;
– Metodologia de avaliação com base nas premissas apresentadas no item 6;
– Descrição dos ambientes de trabalho, dos processos, das operações e das condições de exposição avaliadas;
– Descrição detalhada das características das máquinas ou dos veículos de trabalho, tais como: marca, tipo, modelo, potência, ano de fabricação e condições de manutenção;
– Dados obtidos;
– Interpretação dos resultados;
– Informações complementares em decorrência de circunstâncias específicas que envolveram o estudo realizado.
Compartilhe:
